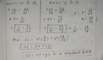
Derive a partial differential equation from the equation 2z= (x^2/a^2) + (y^2/b^2).



 Derive a partial differential equation from the equation 2z= (x^2/a^2) + (y^2/b^2).

SOLUTION:
 
Lets take 2z= (x^2/a^2) + (y^2/b^2)-----------> (1)



No comments:

Post a Comment




Copyright Ⓒ 2022 | Mechpedia | All Right Reserved.